技術中心
新聞中心
- 尼龍PA原料切片高粘低粘的選擇問題
- PA610尼龍原料的重量問題
- PA610,PA612原料為何如此受歡迎?
- 尼龍PA1010刷絲的誕生歷史
- PA尼龍注塑料的性能與特點
- 尼龍PA612刷絲直徑可以精確到多小?
- PA尼龍椅子腳的在生活中用處多多
- 以下幾種尼龍原料在汽車領域的用途廣泛!
- 碳酸鈣性能參數對PA610,PA612填充改性母料的影響
- PA612,PA610等尼龍的熱處理法與調濕法
- PA66+玻纖增強材料+無鹵+阻燃等于?
- 在實際測試中,尼龍PA610和其他尼龍的比較?
- 生物塑料或取代傳統塑料 指導行業發展方向
- 美國塑料機械市場將沿襲2013年良好勢態
- 歐文斯科寧攜九種玻纖新產品參展JEC
技術中心>>
舉例說明透明尼龍幾種性能
透明尼龍是一種具備特殊結構的無定型結晶聚合物,它的分子鏈上通常含有側基或環結構,以此破壞分子鏈規整性,也就是它不會結晶,或者微結晶,從而實現良好的透明性。
常見的透明尼龍種類有 PA MACM12、PA 12/MACMI、PA 6I/X 等等。由于環狀結構或側鏈結構的單體選擇較多,因此幾乎每個牌號的透明尼龍組成都不盡相同。
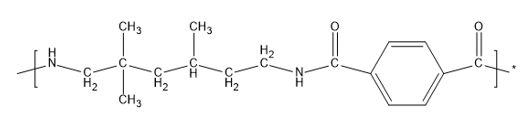
PA TMDT
TMD為2,2,4和2,4,4-三甲基己二胺的混合物,T為對苯二甲酸,三個側甲基和芳香族環狀結構阻止了高分子鏈之間的分子鍵結合,形成無定形態聚合物,具有高透光性。
PA CM12
用脂肪環族單體替換了芳香環族單體,實現了高分子的微晶狀態,又因為其晶體的大小只能達到納米級別,并不會影響到可見光傳播,所以保持了材料的高透光性。
跟普通的尼龍材料不同,透明尼龍一方面透明性優異(透明性甚至超過PC,接近PMMA),另一方面在耐環境應力開裂、耐油性溶劑、耐抓傷、耐磨損等方面比一般的透明聚合物材料(如PS、PC、PMMA等)更為優越。
透明尼龍應用廣泛,比如家電、眼鏡、汽車、電子煙等等。由于透明尼龍同時具備良好的透明性、耐化學性、耐高溫性等優點,所以在電子煙領 域可被用作油倉、煙嘴等部件。

PA TMDT
TMD為2,2,4和2,4,4-三甲基己二胺的混合物,T為對苯二甲酸,三個側甲基和芳香族環狀結構阻止了高分子鏈之間的分子鍵結合,形成無定形態聚合物,具有高透光性。

用脂肪環族單體替換了芳香環族單體,實現了高分子的微晶狀態,又因為其晶體的大小只能達到納米級別,并不會影響到可見光傳播,所以保持了材料的高透光性。
跟普通的尼龍材料不同,透明尼龍一方面透明性優異(透明性甚至超過PC,接近PMMA),另一方面在耐環境應力開裂、耐油性溶劑、耐抓傷、耐磨損等方面比一般的透明聚合物材料(如PS、PC、PMMA等)更為優越。
透明尼龍應用廣泛,比如家電、眼鏡、汽車、電子煙等等。由于透明尼龍同時具備良好的透明性、耐化學性、耐高溫性等優點,所以在電子煙領 域可被用作油倉、煙嘴等部件。
如果您有關于舉例說明透明尼龍幾種性能的需求或者疑問,可以撥打電話與我們共同探討交流,歡迎您的來電!
尼龍PA610樹脂 尼龍PA612樹脂 尼龍PA1010樹脂 尼龍PA1212樹脂 技術咨詢熱線:18602297376查看:

